Overview
Runoff elections are a critical mechanism that occurs when no candidate secures more than 50% of the votes in the initial election. This situation necessitates a secondary vote, ensuring that the selected candidate possesses broad support. Understanding the conditions and processes surrounding runoff elections is essential for union leaders, as it not only enhances democratic legitimacy and accountability within the organization but also emphasizes the importance of strategies aimed at improving voter turnout and engagement during these pivotal contests.
Furthermore, by actively engaging in the runoff election process, union leaders can foster a more informed electorate, which is crucial for the health of any democratic organization. The implementation of targeted outreach and educational initiatives can significantly boost participation rates. In addition, leveraging data and case studies can provide valuable insights into effective voter engagement strategies.
In conclusion, it is imperative for union leadership to recognize the importance of runoff elections and to take proactive steps to ensure that their members are informed and engaged. By doing so, they not only uphold the democratic principles of their organization but also strengthen the overall integrity of the electoral process.
Introduction
Runoff elections are crucial in ensuring that candidates secure the majority support needed for effective leadership, especially in union environments where accountability and representation are vital. This article explores the essential steps that union leaders must undertake to navigate the complexities of runoff elections, underscoring the significance of these contests in upholding democratic principles.
However, as voter turnout often diminishes in subsequent rounds, the pressing question remains: how can union leaders actively engage their members and guarantee robust participation in these critical electoral processes?
Define Runoff Elections and Their Purpose
Runoff contests serve as a crucial mechanism for determining a victor when does a runoff election occur, specifically when no participant secures the necessary majority in the initial vote. Their primary objective is to ensure that the selected candidate enjoys widespread support from voters, thereby bolstering the legitimacy of the outcome. For union leadership, secondary votes hold particular significance, especially in the selection of leaders or critical decisions where a clear majority is essential to accurately reflect the members’ will. This process not only reinforces democratic principles within unions but also fosters accountability and trust among members.
Union leaders recognize the importance of secondary votes in enhancing legitimacy. For instance, Lee Saunders, AFSCME President, has emphasized that election victories signify a robust mandate for change, mirroring the collective voice of the members. Data indicates that supplementary votes can lead to increased voter engagement; Democratic primaries often witness turnout rates averaging 96% of first-round participation, in contrast to 75% for Republicans. This heightened involvement underscores the effectiveness of secondary votes in ensuring that the final nominees genuinely reflect the voters’ choices.
Moreover, examples from various states illustrate how secondary voting can bolster legitimacy in union leadership. In Mississippi, for instance, when does a runoff election occur if no contender secures over 50% of the ballots, ensuring that the ultimate nominee has majority support? Similarly, in South Carolina, when does a runoff election occur two weeks after the primary, reinforcing the democratic process and ensuring that leadership positions are filled by candidates who authentically represent the members’ preferences?
Votem, as a comprehensive voting partner, provides essential resources including setup, logic and accuracy testing, and help desk support to facilitate these secondary contests, ensuring transparency and verifiability throughout the process. By understanding and advocating for alternative voting methods, union leaders can more effectively serve their members’ interests and uphold the integrity of the electoral system. Votem’s commitment to fairness is encapsulated in its ‘Built for the losers’ philosophy, which ensures that all stakeholders maintain confidence in the electoral outcomes.

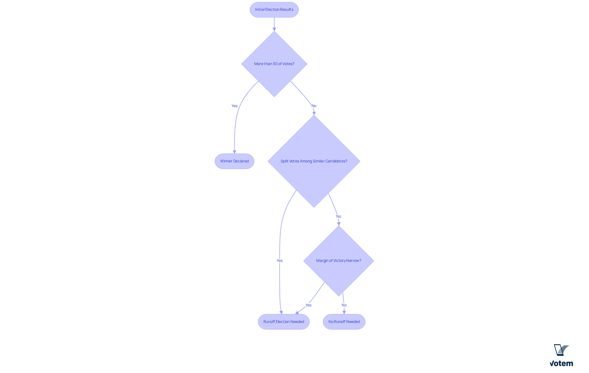
Identify Conditions That Trigger Runoff Elections
Runoff elections are typically triggered under specific conditions that union leaders must understand to navigate electoral processes effectively.
A runoff election becomes necessary when no candidate secures more than 50% of the votes in the initial election, which raises the question of when does a runoff election occur. This scenario emphasizes the importance of clear voting outcomes in determining a definitive winner.
In contests featuring numerous contenders, the likelihood of a second round increases, particularly when does a runoff election occur due to votes being split among similar candidates. This situation can complicate the electoral landscape, making it crucial for leaders to strategize accordingly.
Specific Union Regulations indicate that certain unions have bylaws mandating supplementary votes under specific conditions, particularly when does a runoff election occur because the margin of victory is exceptionally narrow. It is essential for union leaders to familiarize themselves with their organization’s rules to anticipate and prepare for these scenarios effectively. Understanding these dynamics not only enhances electoral strategy but also strengthens the overall governance of the union.

Outline the Process for Conducting a Runoff Election
To ensure a successful outcome, union leadership must effectively navigate several key steps in conducting a runoff election, particularly understanding when does a runoff election occur.
Review Election Guidelines: Begin by thoroughly examining the union’s bylaws and any relevant labor laws. Understanding the specifics of when does a runoff election occur is crucial for compliance and success.
Inform Members: It is essential to convey the necessity for a secondary vote to all qualified participants. Provide comprehensive information about the candidates and the balloting procedure to foster informed participation.
Set a Voting Schedule: Establish a clear timeline for the runoff, including specific voting dates and times. This ensures ample opportunity for participation, which is vital for a democratic process.
Secure Voting Methods: Selecting secure and compliant voting techniques is paramount. Consider Votem’s innovative online voting platform, CastIron, which enhances accessibility and security. This approach ensures that all eligible participants, including those with disabilities and military personnel, can engage effectively in the election process.
Conduct the Election: Execute the voting process with transparency and strict adherence to all regulations. Votem’s solutions have been shown to significantly boost participation, as evidenced by several successful contests.
Count Votes and Announce Results: After voting concludes, it is imperative to count the votes accurately and announce the results promptly. This practice maintains trust among members and reinforces the integrity of the electoral process.

Analyze the Impact of Runoff Elections on Voter Turnout
Runoff contests can significantly influence voter turnout, often leading to decreased participation rates compared to the initial polls. Several factors contribute to this phenomenon:
- Voter Fatigue: Following an initial election, voters may experience fatigue, which can diminish their inclination to engage in a subsequent runoff.
- Awareness and Engagement: It is crucial to implement effective communication and engagement strategies to inform members about the importance of the election and motivate their participation.
- The timing of the runoff election is crucial for turnout, as it raises the question of when does a runoff election occur to ensure participation rates are not negatively affected.
To enhance turnout, union leaders are encouraged to adopt targeted outreach initiatives, send reminders, and utilize mobile-friendly voting platforms. These strategies will ensure the voting process is as accessible as possible, ultimately fostering greater participation.

Conclusion
Runoff elections are crucial for ensuring that union leadership genuinely reflects the will of its members, especially when initial votes do not yield a clear majority. By instituting a secondary voting process, unions can bolster legitimacy and accountability, thereby fostering a stronger connection between leaders and constituents. Grasping the dynamics surrounding runoff elections enables union leaders to navigate these pivotal moments effectively, ensuring that every voice is heard and represented.
The article underscores several key facets of runoff elections, such as the conditions that necessitate them, the essential steps for conducting a successful election, and the potential effects on voter turnout. By highlighting the significance of clear communication, strategic planning, and accessible voting methods, union leaders can markedly enhance participation rates and uphold the democratic principles that underpin their organizations.
Ultimately, the importance of runoff elections transcends mere procedural compliance; they embody a commitment to democratic values and member engagement. Union leaders are urged to adopt these practices, leveraging innovative solutions and proactive outreach strategies to guarantee that every election mirrors the collective voice of the membership. By doing so, they not only fortify the legitimacy of their leadership but also empower their members to take an active role in shaping the future of their unions.
Frequently Asked Questions
What are runoff elections and why are they important?
Runoff elections are held to determine a winner when no candidate secures the necessary majority in the initial vote. Their purpose is to ensure that the selected candidate has widespread support among voters, thereby enhancing the legitimacy of the election outcome.
When do runoff elections occur?
Runoff elections occur when no participant receives over 50% of the votes in the initial election, necessitating a secondary vote to ensure that the final nominee has majority support.
How do runoff elections impact union leadership?
Runoff elections are significant in union leadership as they help in selecting leaders or making critical decisions where a clear majority is essential, reinforcing democratic principles and fostering accountability and trust among union members.
What evidence is there that secondary votes increase voter engagement?
Data shows that secondary votes can lead to increased voter engagement, with Democratic primaries experiencing turnout rates averaging 96% of first-round participation, compared to 75% for Republicans.
Can you provide examples of runoff elections in specific states?
In Mississippi, a runoff election occurs when no contender secures over 50% of the votes, ensuring majority support for the nominee. In South Carolina, runoff elections take place two weeks after the primary to reinforce the democratic process.
What role does Votem play in the runoff election process?
Votem serves as a comprehensive voting partner, providing essential resources such as setup, logic and accuracy testing, and help desk support to facilitate secondary contests, ensuring transparency and verifiability.
What is Votem’s philosophy regarding electoral outcomes?
Votem’s philosophy, encapsulated in its ‘Built for the losers’ approach, ensures that all stakeholders maintain confidence in the electoral outcomes, advocating for fairness and integrity in the electoral system.
List of Sources
- Define Runoff Elections and Their Purpose
- Runoffs in Primary and General Elections (https://ncsl.org/elections-and-campaigns/primary-runoffs)
- U.S. Postal Service Releases Updated 2020 Post-Election Analysis Highlighting Extraordinary Lengths to Deliver Ballots During Historic General Election Season – Newsroom – About.usps.com (https://about.usps.com/newsroom/national-releases/2021/0119-usps-releases-updated-2020-post-election-analysis-report.htm)
- Impact of U.S. Runoff Elections on Racial Minorities and Women: An Analysis and Comparison with Instant Runoff Voting – FairVote (https://fairvote-staging.mystagingwebsite.com/archives/impact-of-runoffs-on-racial-minorities-and-women-2000)
- Teamsters win runoff for Richmond trades union (https://vpm.org/news/2023-10-30/teamsters-win-runoff-for-richmond-trades-union)
- Saunders calls Georgia runoff victories a ‘bold mandate for change’ (https://afscmeatwork.org/city-phoenix-ems-workers-united-local-2960/news/saunders-calls-georgia-runoff-victories-bold-mandate)

